• Предмет: Алгебра
  • Автор: zp270117qmailcom
  • Вопрос задан 2 года назад

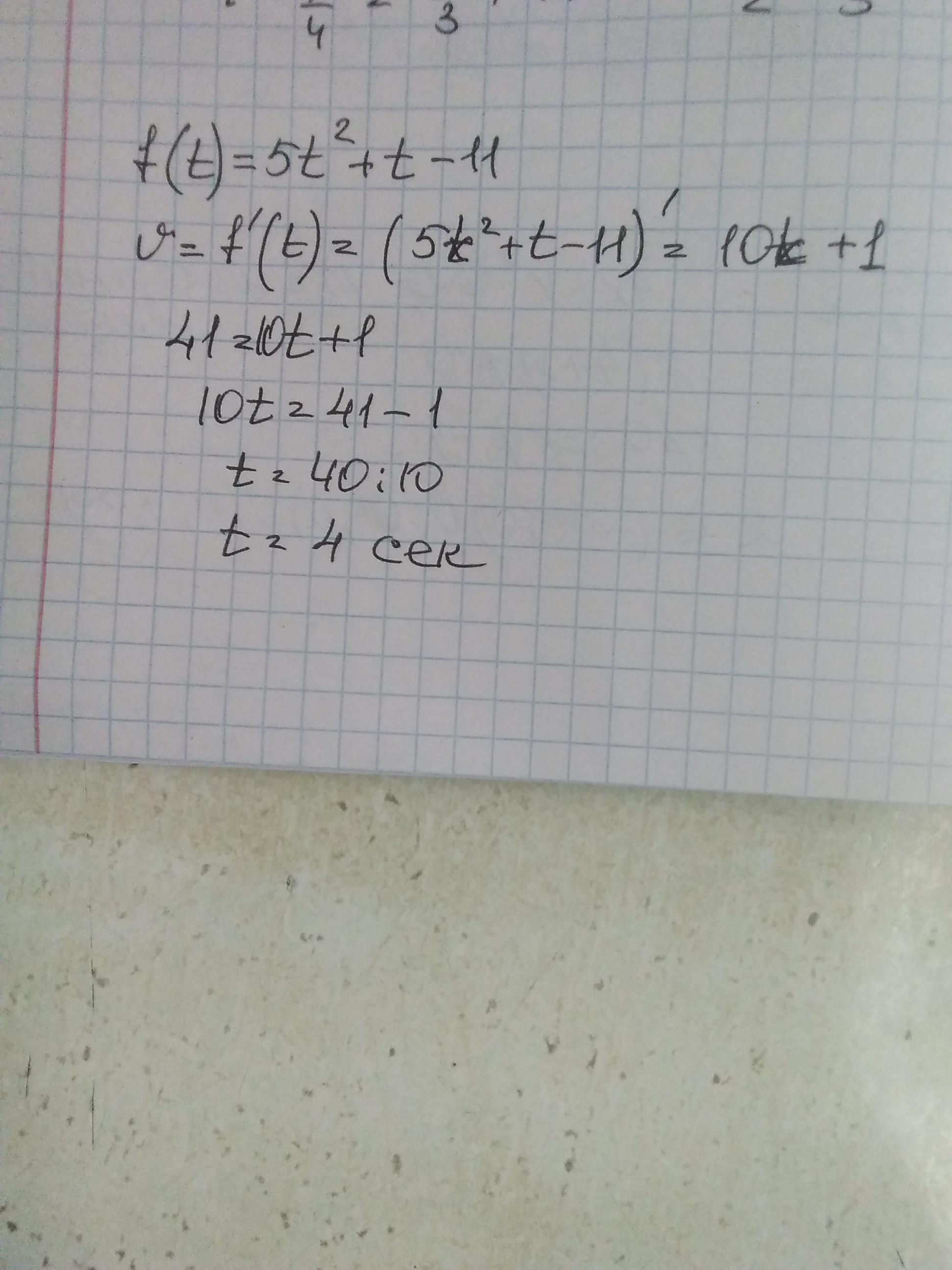
тіло рухається прямолінійно за законом x(f)=5t²+t-11 ( шлях x вимірюється в метрах; а час t в секундах). У який момент часу швидкість точки буде дорівнювати 41 м/с?​

Ответы

Ответ дал: MizoriesKun
0

Смотри....................

Приложения:
Вас заинтересует