Ответы
Ответ дал:
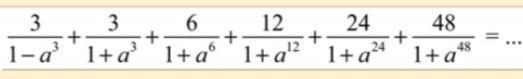
1
Відповідь:
Пояснення:
Приложения:

Вас заинтересует
1 год назад
1 год назад
1 год назад
1 год назад
8 лет назад