• Предмет: Математика
  • Автор: Аноним
  • Вопрос задан 2 года назад

помогите пожалуймта даю 70 балов фастом​

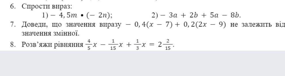
Приложения:

Ответы

Ответ дал: matviikyrychok
1

Ответ:

Пошаговое объяснение:

-4.5m*(-2n) = 9mn (произведение двух отрицательных чисел даёт положительный результат)

-3a+2b+5a-8b = 2a-6b (сначала собираем коэффициенты при переменных a и b, затем выполняем операции вычитания)

Чтобы доказать, что значение выражения 0.4(x - 7) + 0.2(2x - 9) не зависит от значения переменной x, достаточно раскрыть скобки и упростить выражение:

0.4(x - 7) + 0.2(2x - 9) = 0.4x - 2.8 + 0.4x - 1.8

= 0.8x - 4.6

Заметим, что значение полученного выражения содержит только переменную x и постоянные числа (-4.6 и 0.8). Значит, не зависит от значения переменной, так как изменение значения x приведет только к изменению числовых коэффициентов, а не к изменению самой структуры выражения.

Ответ дал: сок111213
3

6)

 - 4.5m \times ( - 2n) = 9mn \\  - 3a + 2b + 5a - 8b =  2a - 6b

7)

 - 0.4(x - 7) + 0.2(2x - 9) =  \\  - 0.4x + 2.8 + 0.4x - 1.8 =  \\ 2.8 - 1.8 = 1

8)

 \frac{4}{5} x -  \frac{1}{15} x +  \frac{1}{3} x = 2 \frac{2}{15}  \\  \frac{12}{15} x -  \frac{1}{15} x +  \frac{5}{15} x = 2 \frac{2}{15}  \\  \frac{16}{15} x =  \frac{32}{15}  \\ x =  \frac{32}{15}  \div  \frac{16}{15}  \\ x =  \frac{32 \times 15}{15 \times 16}  \\ x = 2


selfcare39: здравствуйте, помогите пожалуйста с алгеброй задание у меня в профиле отмечу 5 звёзд и сделаю лучший ответ
Вас заинтересует