Ответы
Ответ дал:
2
Ответ:
х = -2/9
Пошаговое объяснение:
Решение на фото.
Приложения:

Ответ дал:
0
Пошаговое объяснение:
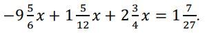
-9 5/6х + 1 5/12х + 2 3/4х = 1 7/27
-9 10/12х + 1 5/12х + 2 9/12х = 1 7/27
-8 5/12х + 2 9/12х = 1 7/27
-7 17/12х + 2 9/12х = 1 7/27
-5 8/12х = 1 7/27
-5 2/3х = 1 7/27
-17/3х = 34/27
х = 34/27 : (-17/3)
х = 34/27 * (-3/17)
х = 2/9 * (-1/1)
х = -2/9
Вас заинтересует
1 год назад
1 год назад
1 год назад
1 год назад
3 года назад
8 лет назад