• Предмет: Алгебра
  • Автор: vagapovarayana59
  • Вопрос задан 2 года назад

В фермерском хозяйстве участок земли, имеющий форму прямоугольника, имеет ту же площадь, что и участок, имеющий форму квадрата, сторона которого меньше на 18 м длины прямоугольного участка и больше на 14 м ширины прямоугольного участка. Чему равна сторона этого квадратного участка в метрах?​

Ответы

Ответ дал: vladagut20
1

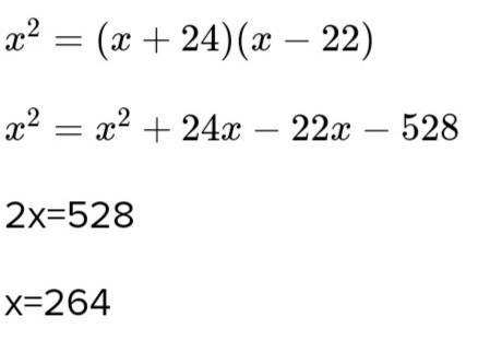
Ответ:

на фото

Объяснение:

ну вроде правильно

Приложения:
Вас заинтересует