Помогите срочно по алгебре,пожалуйста!!!!Даю 100 баллов!!!!
Решите ГРАФИЧЕСКИ системы уравнений-
Приложения:


Ответы
Ответ дал:
1
Ответ:
Должно быть правильно
Объяснение:
Приложения:

Ответ дал:
3
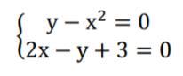
1)
у = х² - квадратичная функция, график - парабола, ветви вверх, вершина (0;0)
у = 2х + 3 - линейная функция, график - линия
Ответ: ( - 1 ; 1 ) и ( 3 ; 9 )
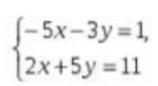
2)
3у = - 5х - 1
5у = - 2х + 11
у = - 1 2/3 - 1/3
у = - 0,4х + 2,2
Ответ: ( - 2 ; 3 )
Приложения:


Вас заинтересует
1 год назад
1 год назад
1 год назад
1 год назад
3 года назад
3 года назад
8 лет назад