• Предмет: Алгебра
  • Автор: sa0076773
  • Вопрос задан 2 года назад

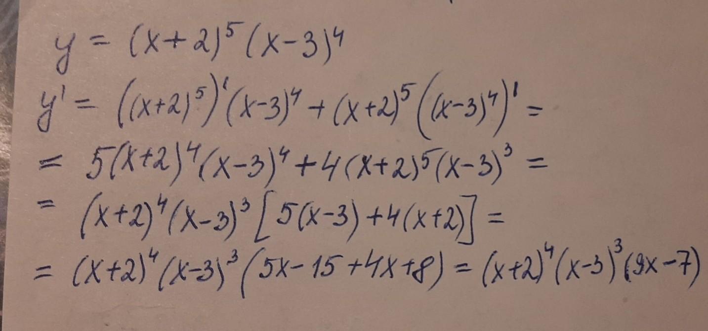
Знайдіть похідну функції :​

Приложения:

Ответы

Ответ дал: сок111213
2

Производные на прикреплённой фотографии

Приложения:
Вас заинтересует