• Предмет: Математика
  • Автор: ivanpootavets
  • Вопрос задан 2 года назад

Помогите кто спам - бан

Приложения:

Ответы

Ответ дал: entonydjons1
0

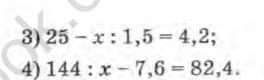
3) 25-x÷1.5=4.2

-x÷1.5=4.2-25

-x÷1.5=-20,8 |×(-1)

x÷(-1.5)=20.8

x= 20.8×1.5

x= 31.2

4)144÷x-7.6=82.4

144÷x=82.4+7.6

144÷x=90

x= 144÷90

x=1.6

Вас заинтересует