• Предмет: Алгебра
  • Автор: EgorSasenow
  • Вопрос задан 2 года назад

ПОЖАЛУЙСТА ПОМОГИТЕ!​

Приложения:

Ответы

Ответ дал: broomspun1
1

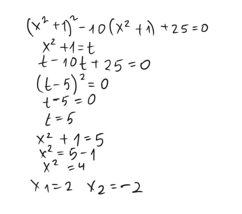
Ответ:

держи ответ

Объяснение:

Приложения:
Вас заинтересует