• Предмет: Геометрия
  • Автор: bbaek1059
  • Вопрос задан 10 лет назад

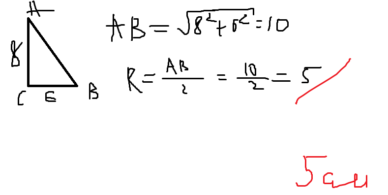
В треугольнике угол С равен 90 градусов, АС равен 8 см, ВС равен 6 см.Найти радиус окружности описанной около данного треугольника.

Ответы

Ответ дал: Аноним
0
.....................................
Приложения:
Вас заинтересует