• Предмет: Алгебра
  • Автор: pavelgorbach2408
  • Вопрос задан 2 года назад

СРОЧНО ПОМОГИТЕ ПОЖАЛУЙСТА

Приложения:

Ответы

Ответ дал: сок111213
2

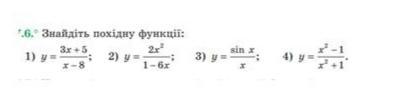
1)

y =  \frac{3x + 5}{x - 8}  \\ y' =  \frac{(3x + 5)'(x - 8) - (x - 8)'(3x + 5)}{(x - 8) {}^{2} }  =  \\  \frac{3(x - 8) - (3x + 5)}{(x - 8) {}^{2} }  =  \\  \frac{3x - 24 - 3x - 5}{(x - 8) {}^{2} }  =  -  \frac{29}{(x - 8) {}^{2} }

2)

y =  \frac{2 {x}^{2} }{1 - 6x}  \\ y' =  \frac{(2 {x}^{2} )'(1 - 6x)  - (1 - 6x) ' \times 2 {x}^{2} }{(1 - 6x) {}^{2} }  =  \\  \frac{4x(1 - 6x) - 2 {x}^{2} \times ( - 6) }{(1 - 6x) {}^{2} }  =  \\  \frac{4x - 24 {x}^{2} + 12 {x}^{2}  }{(1 - 6x) {}^{2} }  =  \frac{4x - 12 {x}^{2} }{(1 - 6x) {}^{2} }

3)

y =  \frac{ \sin(x) }{x}  \\ y' =  \frac{( \sin(x) )'  x - x'( \sin(x) )}{ {x}^{2} }  =  \\  \frac{x \cos(x)  -  \sin(x) }{x {}^{2} }

4)

y =  \frac{ {x}^{2} - 1 }{ {x}^{2}  + 1}  \\ y' =  \frac{( {x}^{2}  - 1)'(x {}^{2}  + 1) - ( {x}^{2}  + 1)'( {x}^{2} - 1) }{( {x}^{2}  + 1) {}^{2} }  =  \\  \frac{2x( {x}^{2}  + 1) - 2x( {x}^{2}  -  1) }{( {x}^{2}  + 1) {}^{2} }  =  \\  \frac{2 {x}^{3} + 2x - 2 {x}^{3}  + 2x } {(x {}^{2} + 1) {}^{2}  }  =  \frac{4x}{(x { }^{2}  + 1) {}^{2} }


pavelgorbach2408: Не знаю твоего имени, но ты просто лучший-ая, помоги мне пожалуйста с остальными
Вас заинтересует