• Предмет: Алгебра
  • Автор: veronikamila65
  • Вопрос задан 2 года назад

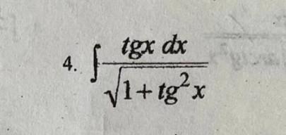
Помогите вычислить интеграл ​

Приложения:

IUV: у вас полно спама в ответах
жалею что с вами связался

Ответы

Ответ дал: MrSolution
1

Ответ:

(см. объяснение)

Объяснение:

$\Large\int \dfrac{\mathrm{tg}\,x\;dx}{\sqrt{1+\mathrm{tg}^2\,x}}=\int \dfrac{\sin x\;dx}{\cos x\cdot\dfrac{1}{|\cos x|}}=-\int \dfrac{|\cos x|}{\cos x}\;d\cos x=-\mathrm{sgn}(\cos x)\cos x+C$

Задание выполнено!


veronikamila65: спасибо большое
veronikamila65: а можно я добавлю еще один вопрос, интеграл, посмотрите ?пожалуйста
IUV: sgn(cos())*cos() = |cos()|
)))
veronikamila65: ответ соs(1+tg^2x ) что ли ?
MrSolution: Почему ответ был отмечен неверным? Вроде все преобразования законные, и он легче альтернативного?
yugolovin: Может быть ответ отмечен неверным, поскольку Вы его не упростили до |cos x|?
yugolovin: Кстати, если быть щепетильным, нужно разбивать первообразную на участки непрерывности, причем на каждом участке своя постоянная. Как в случае с \int dx/x= ln x+C_1, если x>0, и ln(-x)+C_2, если x<0.
Ответ дал: yugolovin
1

Ответ:

 -|\cos x|+C.

Объяснение:

      \int\dfrac{{\rm tg}\ x}{\sqrt{1+{\rm tg}^2x}}\, dx=\int\dfrac{{\rm tg}\ x}{(1+{\rm tg}^2 x)^{3/2}\cos^2 x}\, dx=\int\dfrac{{\rm tg}\ x}{(1+{\rm tg}^2 x)^{3/2}}\, d\,{\rm tg}\ x=

         =||{\rm tg}\ x=t||=\int\dfrac{t}{(1+t^2)^{3/2}}\, dt=\dfrac{1}{2}\int\dfrac{d(t^2+1)}{(1+t^2)^{3/2}}=||t^2+1=p||=

           =\dfrac{1}{2}\int p^{-3/2}\, dp=\dfrac{1}{2}\dfrac{p^{-3/2+1}}{-3/2+1}+C=-p^{-1/2}+C=-\dfrac{1}{\sqrt{t^2+1}}+C=

                    =-\dfrac{1}{\sqrt{{\rm tg}^2x+1}}+C=-\sqrt{\cos^2x}+C=-|\cos x|+C.


veronikamila65: спасибо большое, очень подробно
veronikamila65: а вы знаете метод симплекса ?
yugolovin: В студенческие годы приходилось использовать симплекс-метод, но как давно это было. Сейчас вряд ли возьмусь за такую задачу.
Вас заинтересует