• Предмет: Алгебра
  • Автор: krosaka6
  • Вопрос задан 2 года назад

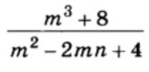
m³ +8 2 m² -2mn +4 на фото​

Приложения:

Ответы

Ответ дал: RoblikScience
0

Ответ:

m³+8 = (m+2)(m²-2m+4)

m²-2mn+4 (не разлагается)

(m+2)(m²-2m+4)/m²-2mn+4

Вас заинтересует