a²+2ab+b² =(a+b)2
a²-2ab+b²=(a+b)2
Приложения:

x1wertum:
а что нужно сделать?
Ответы
Ответ дал:
2
Відповідь:
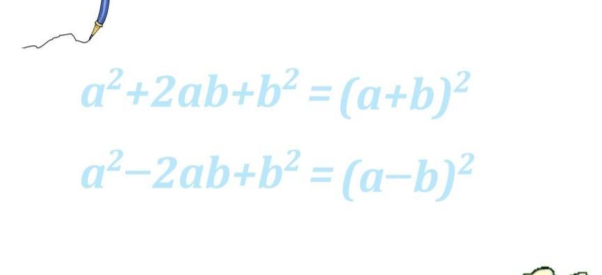
(а+b)²=a²+2ab+b²
(a+b)*(a+b)=a²+2ab+b²
a²+ab+ab+b²=a²+2ab+b²
a²+2ab+b²=a²+2ab+b²
(а- b)²=a²-2ab+b²
(a-b)*(a-b)=a²-2ab+b²
a²-ab-ab+b²=a²-2ab+b²
a²-2ab+b²=a²-2ab+b²
Вас заинтересует
1 год назад
1 год назад
1 год назад
3 года назад
3 года назад
8 лет назад