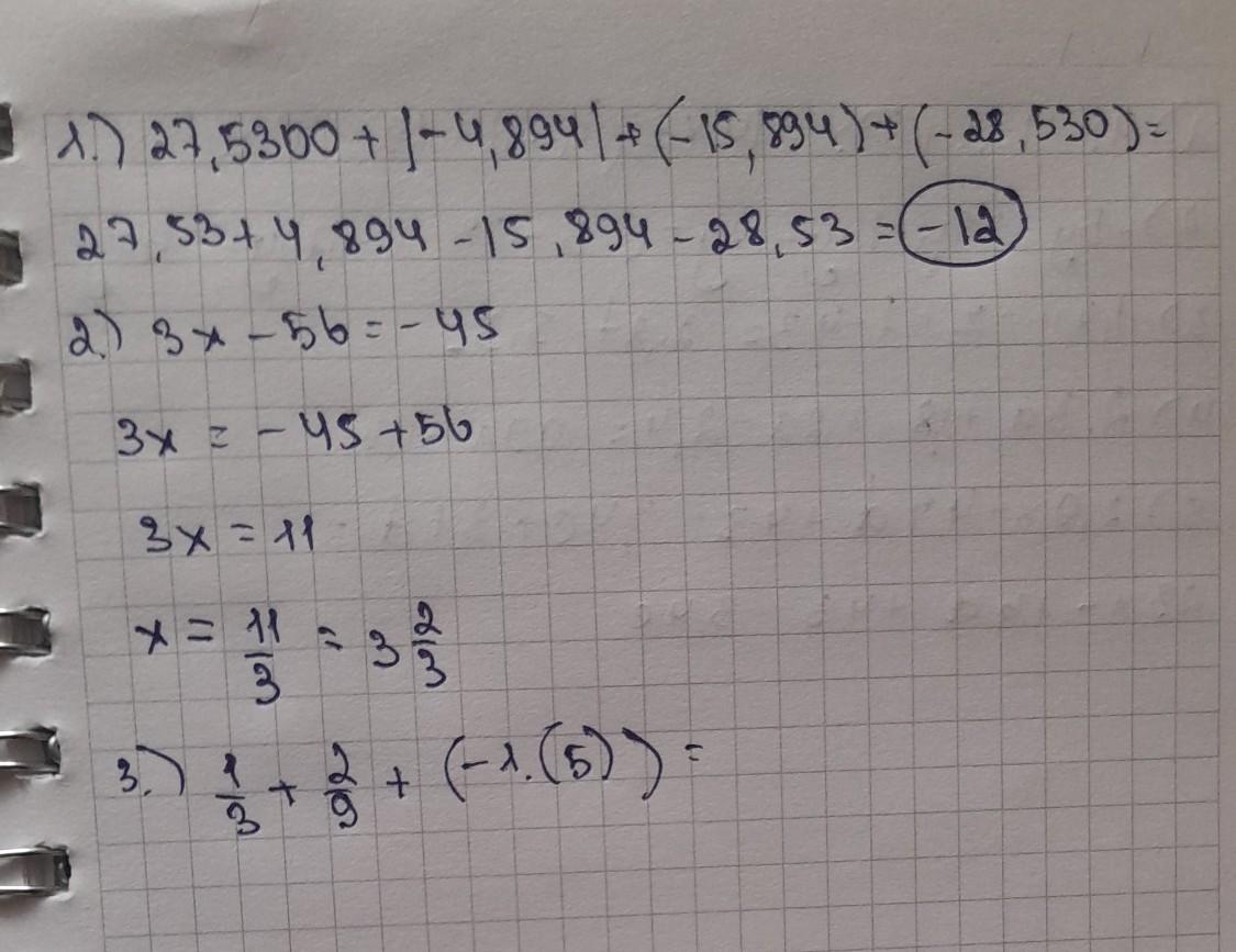
1. Виконайте додавання зручним способом:
27.5300 + | -4.894 | + ( -15.894 ) + ( -28.530 )
2. Розв`яжіть рівняння:
3x - 56 = -45
3. Складіть числовий вираз і знайдіть його значення:
до суми чисел 1/3 і 2/9 додали число [ -1.(5) ]
Ответы
Ответ дал:
1
Ответ:
3 вопрос я не сильно поняла как решать)
Приложения:

frogFROGIN:
спасибо огромное))
Вас заинтересует
1 год назад
1 год назад
1 год назад
3 года назад
3 года назад
8 лет назад