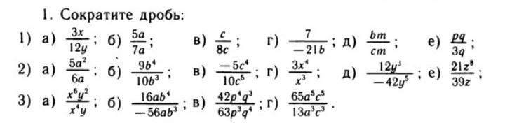
1. Сократите дробь: 1) a) 2) a) 3) a) 3x 12y 5a² 6a xy : 6) ; б) ; б) 5a 7a 964 106³ 16ab -56ab3 B) вс B) г) ; г) . -5c 10c5 T; B) 42p'qa 63p³q' ; г) 7 -21b 3x1 ; 65a5c5 13а'с ; д) д) bm cm 12y - -425 ; e) Pg e) 3q 2128 39z
Приложения:

Ответы
Ответ дал:
0
Ответ:
1. а) x/4y б) 5/7 в) 1/8 г) 1/(-3b) д) b/c е) p/3
2. а) 5a/6 б) 59b/10 в) -1/2c г) 3x д)2/(-7y^2) е) 7z^7/13
3. а) x^2y б) 2b/(-7) в) 2p/3q г) 5a^2c^2
Ответ дал:
0
Ответ:
1) а) х/4у; б) 5/7; в) 1/8; г) 1/-3b; д) b/c; е)p/3
2) a) 5a/6; б) 9b/10; в) -с/2с; г) 3х; д) 2/-7у^2; е) 7z^7/13
3) a) x^2•y; б) 2b/-7; в) 2p/3q; г) 5а^2•c^2
Объяснение:
Вас заинтересует
1 год назад
1 год назад
1 год назад
3 года назад
3 года назад
8 лет назад