• Предмет: Алгебра
  • Автор: annat7694
  • Вопрос задан 2 года назад

решите пожалуйста уравнение:
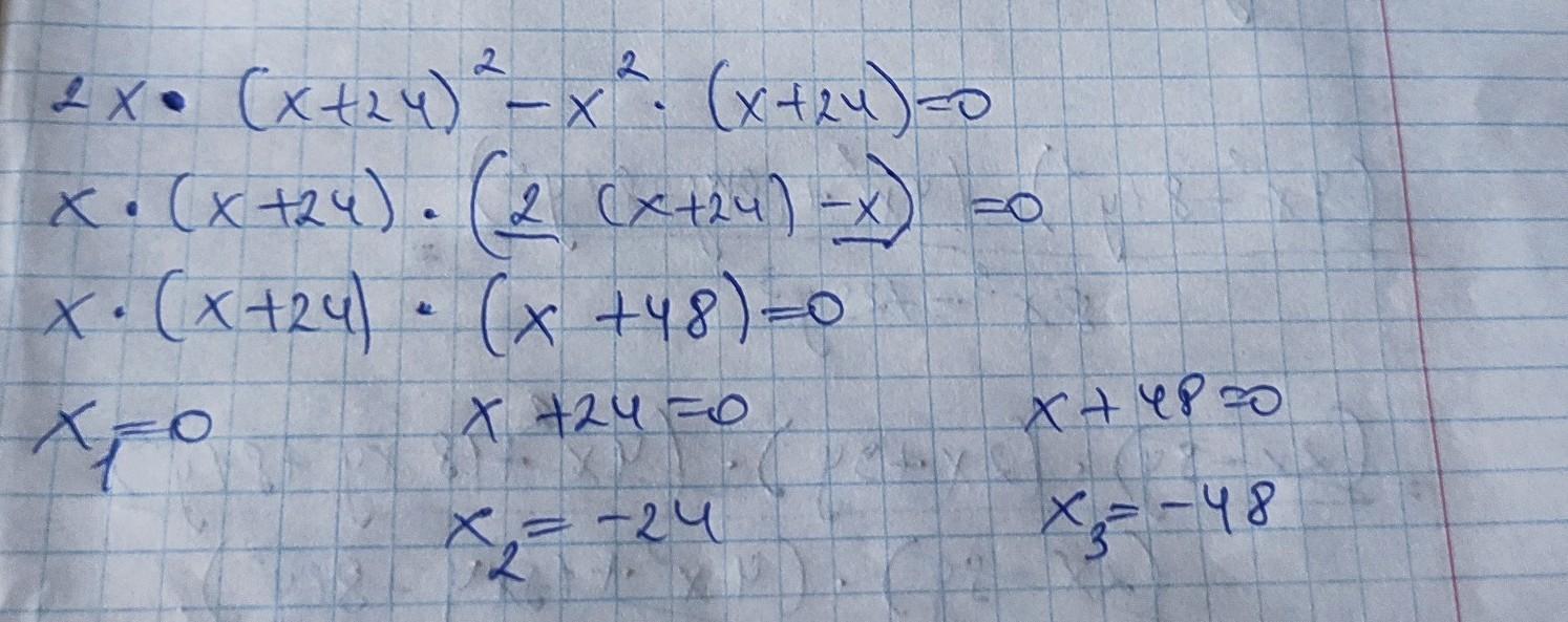
2x*(x+24)^2-x^2*(x+24)=0
х1=
х2=
х3=
30 БАЛЛОВ ДАЮ

Ответы

Ответ дал: MrProfessor
1

Решил уравнение.

На фото

Приложения:
Вас заинтересует