• Предмет: Математика
  • Автор: aliaskarovadinara0
  • Вопрос задан 2 года назад

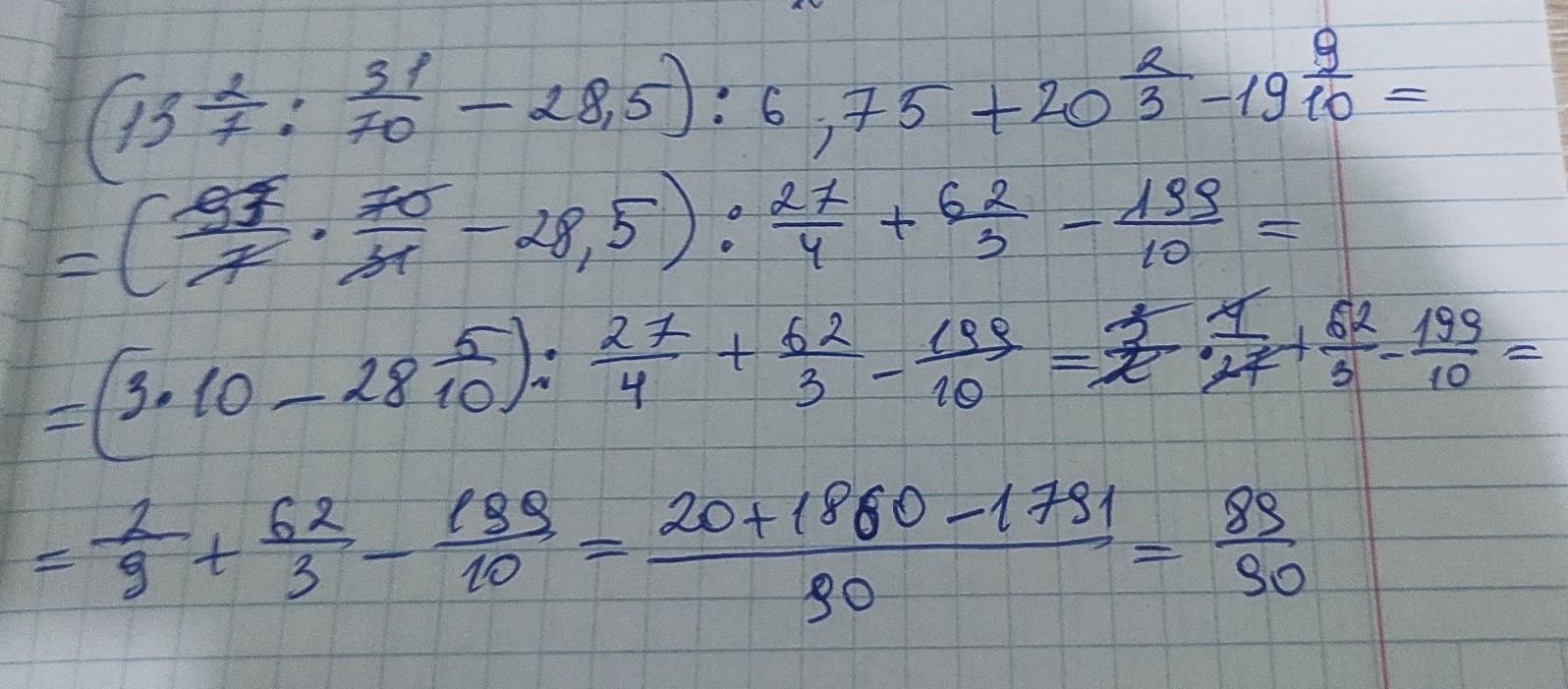
(13 2/7÷31/70-28,5)÷6, 75+20 2/3-19 9/10


tatsach: Создайте новый вопрос с фото задания
tatsach: Сколько здесь примеров?

Ответы

Ответ дал: MrProfessor
2

НА ФОТО..............

Приложения:
Ответ дал: tatsach
0

Ответ:

Пошаговое объяснение:

Приложения:
Вас заинтересует