• Предмет: Математика
  • Автор: vlasikksenia976
  • Вопрос задан 2 года назад

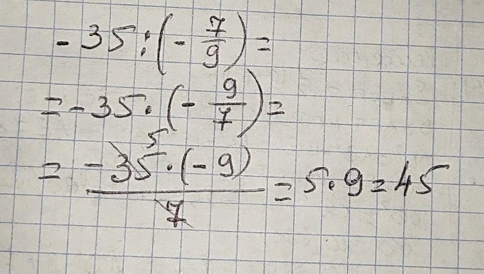
Помогите пожалуйста нужно решить -35:(-7/9)

Ответы

Ответ дал: tetamotatetyamotya
2

Ответ:

вот решение

Пошаговое объяснение:

на листочке

Приложения:

vlasikksenia976: Спасибо большое
tetamotatetyamotya: пожалуйста
Вас заинтересует