• Предмет: Математика
  • Автор: Milanaka566
  • Вопрос задан 2 года назад

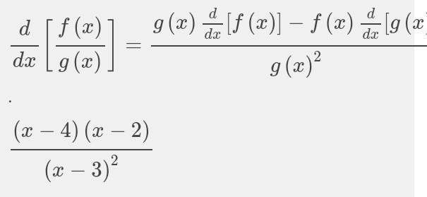
найти производную функции

Приложения:

Ответы

Ответ дал: Maksim666kill
1

Ответ:

ответ на фото..........

Приложения:
Вас заинтересует