• Предмет: Геометрия
  • Автор: rosemary000
  • Вопрос задан 2 года назад

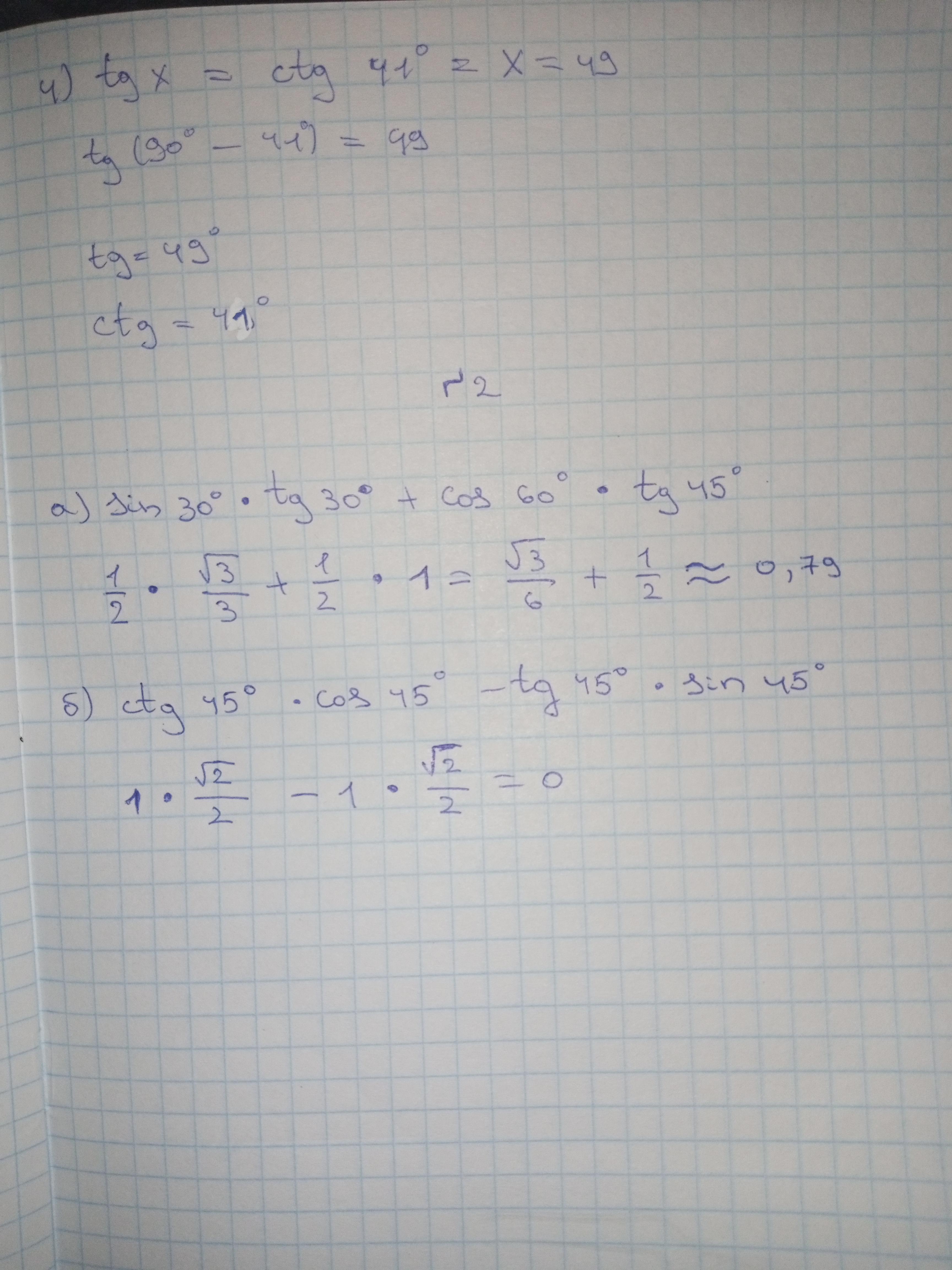
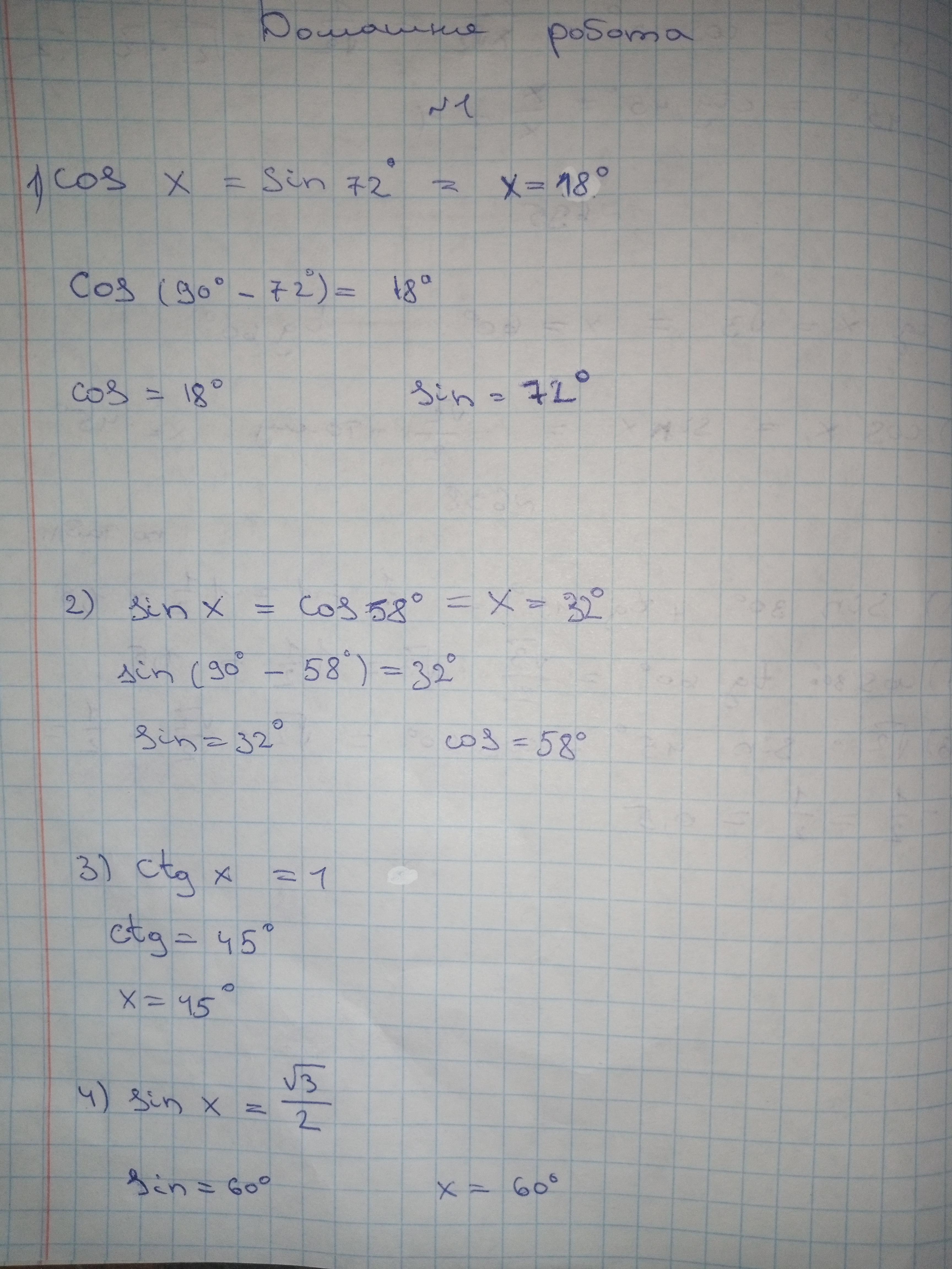
Благаю , допоможіть .Завдання №1 .Знайдіть гострий кут х, якщо a)cos x = sin 72градуса б)sin x=cos 58радусів в)ctg x=1 г)sin x= квадрат 3 /2 Д)tg x=ctg41градус
Завдання №2. Обчисліть:
а) sin 30градусів • tg30градусів + cos60градусів•tg45градусів
б)ctg45градусів•cos45градусів-tg45градусів•sin45градусів.

Приложения:

Ответы

Ответ дал: milana123476
1

Ответ:

у меня такое же задание хах

Объяснение:

Приложения:
Вас заинтересует