Із човна масою 200 кг, який рухається зі швидкістю 2 м\с, стрибає хлопчик масою 50 кг зі швидкістю 6 м\с. Визначте швидкість руху човна після стрибка, якщо хлопчик стрибає:з носа човна під кутом 60⁰ до горизонту, в напрямку руху човна
Ответы
Ответ дал:
3
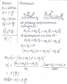
обьяснение на фото ниже
ответ: м/
Приложения:

kiomichan21:
спасибо большое
Вас заинтересует
1 год назад
1 год назад
1 год назад
3 года назад
8 лет назад