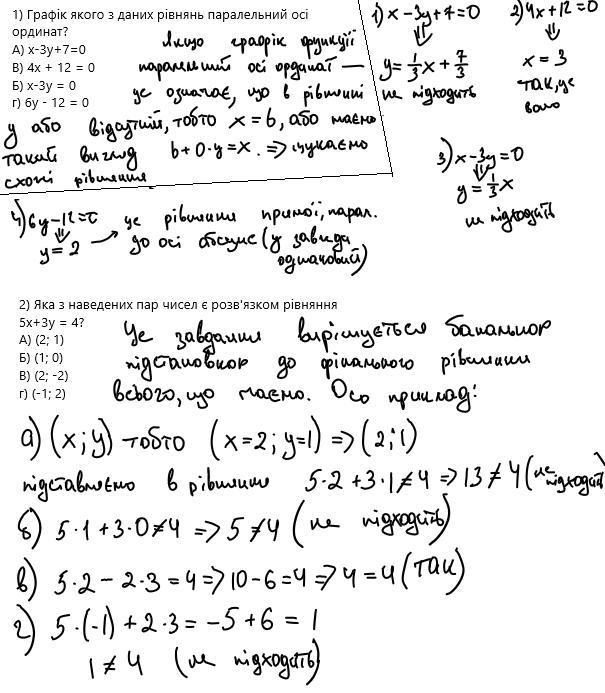
1) Графік якого з даних рівнянь паралельний осі ординат?
A) x-3y+7=0
B) 4x + 12 = 0
Б) x-3y = 0
г) 6у - 12 = 0
2) Яка з наведених пар чисел є розв'язком рівняння 5x+3y = 4?
A) (2; 1)
Б) (1; 0)
B) (2; -2)
г) (-1; 2)
Ответы
Ответ дал:
1
Ответ:
1) B) 4x + 12 = 0
2) B) (2; -2)
Объяснение:
- График уравнения параллелен оси ординат, если коэффициент при неизвестной x равен нулю. Из данного списка уравнений только уравнение B имеет ненулевой коэффициент только при x, поэтому его график параллелен оси ординат. Исходя из этого - ответ: B
- Подставим каждую из пар чисел в уравнение и проверим, выполняется ли оно:
- При x = 2 и y = 1: 52 + 31 = 10 + 3 = 13 ≠ 4, не подходит.
- При x = 1 и y = 0: 51 + 30 = 5 + 0 = 5 ≠ 4, не подходит.
- При x = 2 и y = -2: 52 + 3(-2) = 10 - 6 = 4, подходит.
- При x = -1 и y = 2: 5*(-1) + 3*2 = -5 + 6 = 1 ≠ 4, не подходит.
Ответ: B) (2; -2)
kirovaz16102009:
Можно решение 2 более подробно?
Ответ дал:
1
Сподіваюсь допоміг тобі розібратися з завданням ;)
Бажаю тобі гарного дня та нехай щастить !!
Приложения:

Вас заинтересует
1 год назад
1 год назад
1 год назад
1 год назад
3 года назад
3 года назад