• Предмет: Алгебра
  • Автор: Nononekkk
  • Вопрос задан 2 года назад

Розв'яжіть систему рівнянь 3(x-2y)=4(x-y)+8, 5x-6y=5-y

Ответы

Ответ дал: romansotnicenko94
1

Объяснение:

Давайте решим ее методом подстановки. Сначала преобразуем первое уравнение: 3(x-2y)=4(x-y)+8 раскроем скобки и получим 3x-6y=4x-4y+8. Перенесем все неизвестные в левую часть, а числа в правую: 3x-6y-4x+4y=-8. Сократим: -x-2y=-8. Разделим обе части на -1: x+2y=8.

Теперь заменим x во втором уравнении на выражение из первого уравнения: 5x-6y=5-y заменим x на 8-2y: 5(8-2y)-6y=5-y раскроем скобки и получим 40-10y-6y=5-y. Перенесем все неизвестные в левую часть, а числа в правую: -10y-6y+y=-40+5. Сократим: -15y=-35. Разделим обе части на -15: y=35/15=7/3.

Теперь заменим y на 7/3 в первом уравнении: x+2y=8 заменим y на 7/3: x+2(7/3)=8 раскроем скобки и получим x+14/3=8. Перенесем все неизвестные в левую часть, а числа в правую: x=-14/3+8. Сократим: x=-14/3+24/3=10/3.

Таким образом, решение системы уравнений: x=10/3 и y=7/3.


BeraSmoothy: И откуда у тебя взялось -8?!
Не пойми неправильно, но там ошибка в решении в первом абзаце уже
Дальше не смотрел ведь смысла проверять далее нет)
romansotnicenko94: дякую вам
Ответ дал: BeraSmoothy
2

Сподіваюсь допоміг тобі розібратися в питання ;)

Бажаю тобі успіхів та гарного дня!!

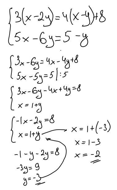
Приложения:
Вас заинтересует