Ответы
Ответ дал:
0
я конечно не уверенна в правильности но:
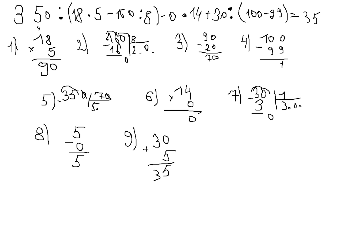
350(18*5-160*8)-0*14+30:(100-99)=
18*5=90
160:8=20
90-20=70
100-99=1
(350:70)-(0*14)+(3061)
350/70=5
0*14=0
30/1=30
5-0+30=35
350(18*5-160*8)-0*14+30:(100-99)=
18*5=90
160:8=20
90-20=70
100-99=1
(350:70)-(0*14)+(3061)
350/70=5
0*14=0
30/1=30
5-0+30=35
Ответ дал:
0
350:(18*5-160:8)-0*14+306(100-99)=
1) 18
1) 18
Приложения:
Вас заинтересует
3 года назад
3 года назад
8 лет назад
11 лет назад
11 лет назад
11 лет назад
11 лет назад