• Предмет: Алгебра
  • Автор: praproeva08
  • Вопрос задан 2 года назад

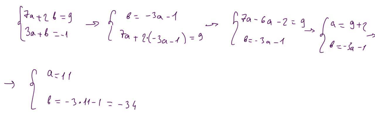
Розв'язати систему методом підстановки
завдання у фото!

Приложения:

Ответы

Ответ дал: Warlock1
0

Ответ:

a=11; b=-34

Объяснение:

Приложения:
Вас заинтересует