Ответы
Ответ дал:
1
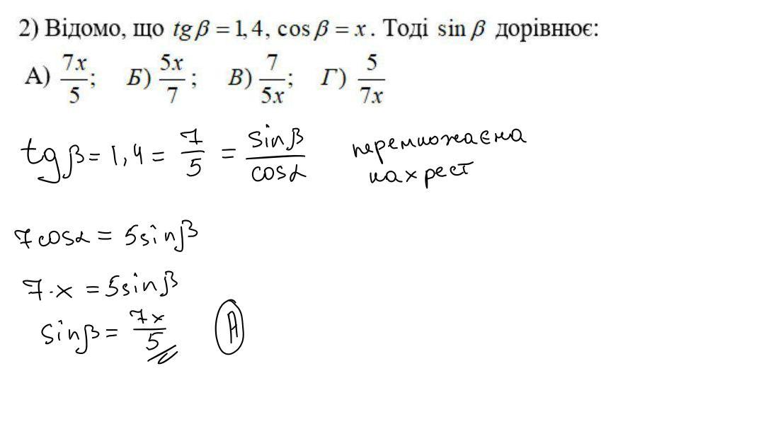
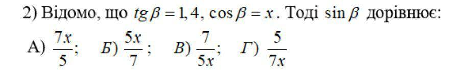
Схоже, що це якась контрольна чи самостійна ;)
Але сподіваюсь тут все зрозуміло тобі
Якщо виникнуть питання - задавай !)
Приложения:

msabi:
да правильно ты понял, буду очень благодарна, если поможешь с другими, мне очень нужна помощь!!
Вас заинтересует
1 год назад
1 год назад
1 год назад
1 год назад
3 года назад
8 лет назад
8 лет назад