• Предмет: Математика
  • Автор: Sokidik905
  • Вопрос задан 2 года назад

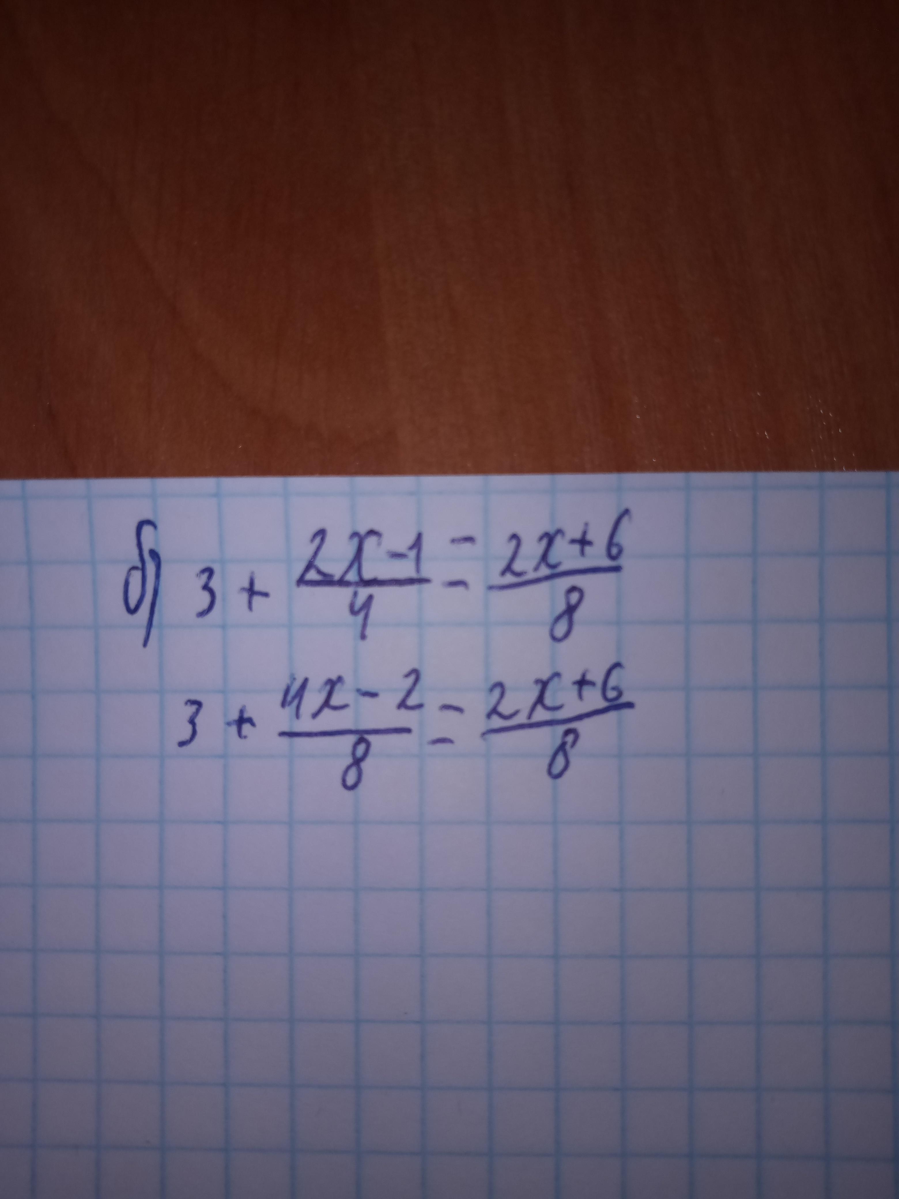
3 + (4x - 2)/8 = (2x + 6)/8

Приложения:

Ответы

Ответ дал: Englishtopik
1

Ответ:

х = -8

Пошаговое объяснение:

24 + 4х - 2 = 2х + 6

22 + 4х = 2х + 6

4х - 2х = 6 - 22

2х = -16

х = -8


Sokidik905: А от кудо 24 + 4х - = 2х + 6
Sokidik905: Все ровно спс
Sokidik905: Спс за ответ
Вас заинтересует