• Предмет: Математика
  • Автор: Nastik2592
  • Вопрос задан 2 года назад

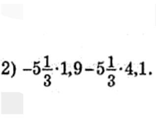
ДОПОМОЖІТЬ СРОЧНО -5 1/3×1,9-5 1/3×4,1

Приложения:

Аноним: Можешь с книги сфоткать
Аноним: Я не понела
Nastik2592: Добавила,надеюсь ты мне поможешь)

Ответы

Ответ дал: iva54
1

Відповідь:

- 32;

Покрокове пояснення:

-5 1/3•1,9-5 1/3•4,1 = -5 1/3• (1,9 + 4,1) = -5 1/3 •6 = - 16/3 • 6 = - 32

Вас заинтересует