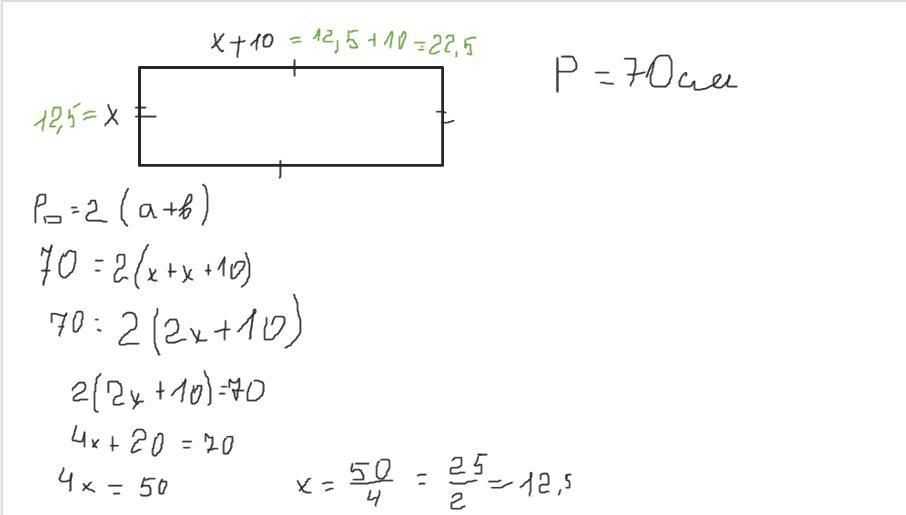
3. Периметр прямокутника дорівнює 70 см. Знайдіть сторони прямокутника, якщо одна сторона Менша за іншу на 10см. ДАЮ 50 БАЛОВ СРОЧНО!!!!
Ответы
Ответ дал:
1
Ответ:
Менша сторона = 12,5, а більша = 22,5
Пошаговое объяснение:
Приложения:

Вас заинтересует
1 год назад
1 год назад
1 год назад
3 года назад
8 лет назад
8 лет назад