• Предмет: Математика
  • Автор: dedoinsult
  • Вопрос задан 2 года назад

помогите пожалуйста ​.

Приложения:

Ответы

Ответ дал: сок111213
3

1)

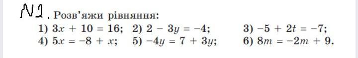
3x + 10 = 16 \\ 3x = 16 - 10 \\ 3x = 6 \\ x = 6 \div 3 \\ x = 2

2)

2 - 3y =  - 4 \\  - 3y =  - 4 - 2 \\  - 3y =  - 6 \\ 3y = 6 \\ y = 6 \div3 \\ y = 2

3)

 - 5 + 2t =  - 7 \\ 2t =  - 7 + 5 \\ 2t =  - 2 \\ t =  - 2 \div 2 \\ t =  - 1

4)

5x =  - 8 + x \\ 5x - x =  - 8 \\ 4x =  -  8 \\  x=  - 8 \div 4 \\ x =  - 2

5)

 - 4y = 7 + 3y \\  - 4y - 3y = 7 \\  - 7y = 7 \\  7y =  - 7 \\ y =  - 7 \div 7 \\ y =  - 1

6)

8m =  - 2m + 9 \\ 8m + 2m = 9 \\ 10m = 9 \\ m =  \frac{9}{10}  \\ m = 0.9

Ответ дал: iramazurk
0

Пошаговое объяснение:

3х + 10 = 16

3х = 16 - 10

3х = 6

х = 6 : 3

х = 2

2 - 3у = -4

3у = 2 - (-4)

3у = 2 + 4

3у = 6

у = 6 : 3

у = 2

-5 + 2t = -7

2t = -7 - (-5)

2t = -7 + 5

2t = -2

t = -2 : 2

t = -1

5х = -8 + х

5х - х = -8

4х = -8

х = -8 : 4

х = -2

-4у = 7 + 3у

-4у - 3у = 7

-7у = 7

у = 7 : (-7)

у = -1

8m = -2m + 9

8m + 2m = 9

10m = 9

m = 9 : 10

m= 0,9

Вас заинтересует