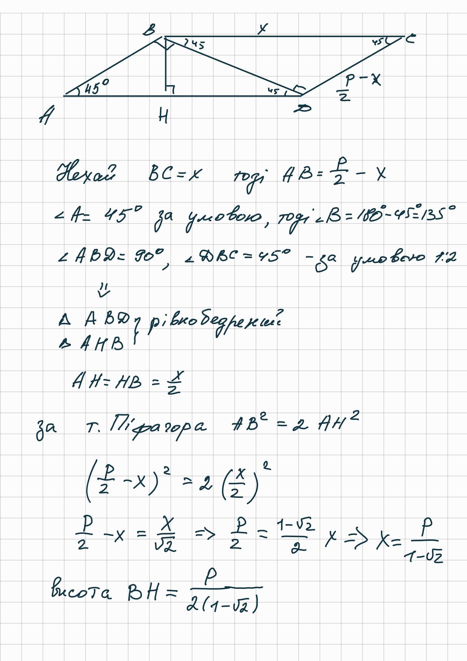
Гострий кут паралелограма дорівнює 45°. Знайдіть висоту паралело- грама, якщо його периметр дорівнює р, а діагональ ділить його тупий кут у відношенні 1:2.
Ответы
Ответ дал:
5
Відповідь:
Пояснення:
Приложения:

Вас заинтересует
1 год назад
1 год назад
1 год назад
3 года назад
8 лет назад