СРОЧНО!!!!
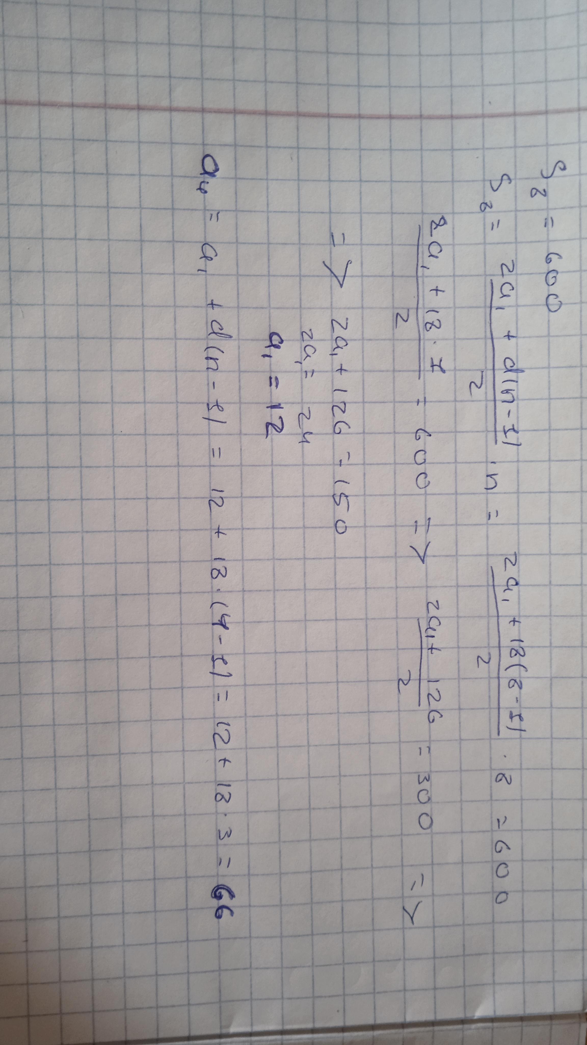
Знайдіть пеший та четвертий члени арифметичної прогресії, якщо її різниця дорівнює 18, а сума восьми її перших членів дорівнює 600
Ответы
Ответ дал:
0
Відповідь:
а1=12 а2=66
Приложения:

Вас заинтересует
1 год назад
1 год назад
3 года назад
3 года назад
8 лет назад