Ответы
Ответ дал:
2
Відповідь:
Покрокове пояснення:
19,5 - (x + 3,7) = 12,7
Починаємо з віднімання виразу (x + 3,7) з числа 19,5:
(19,5) - (x + 3,7) = 12,7
15,8 - x = 12,7
Далі, щоб знайти x, необхідно перенести -x на ліву сторону рівняння, а число 15,8 - на праву:
15,8 - x = 12,7
15,8 - 12,7 = x
3,1 = x
Отже, розв'язком даного рівняння є x = 3,1
Ответ дал:
2
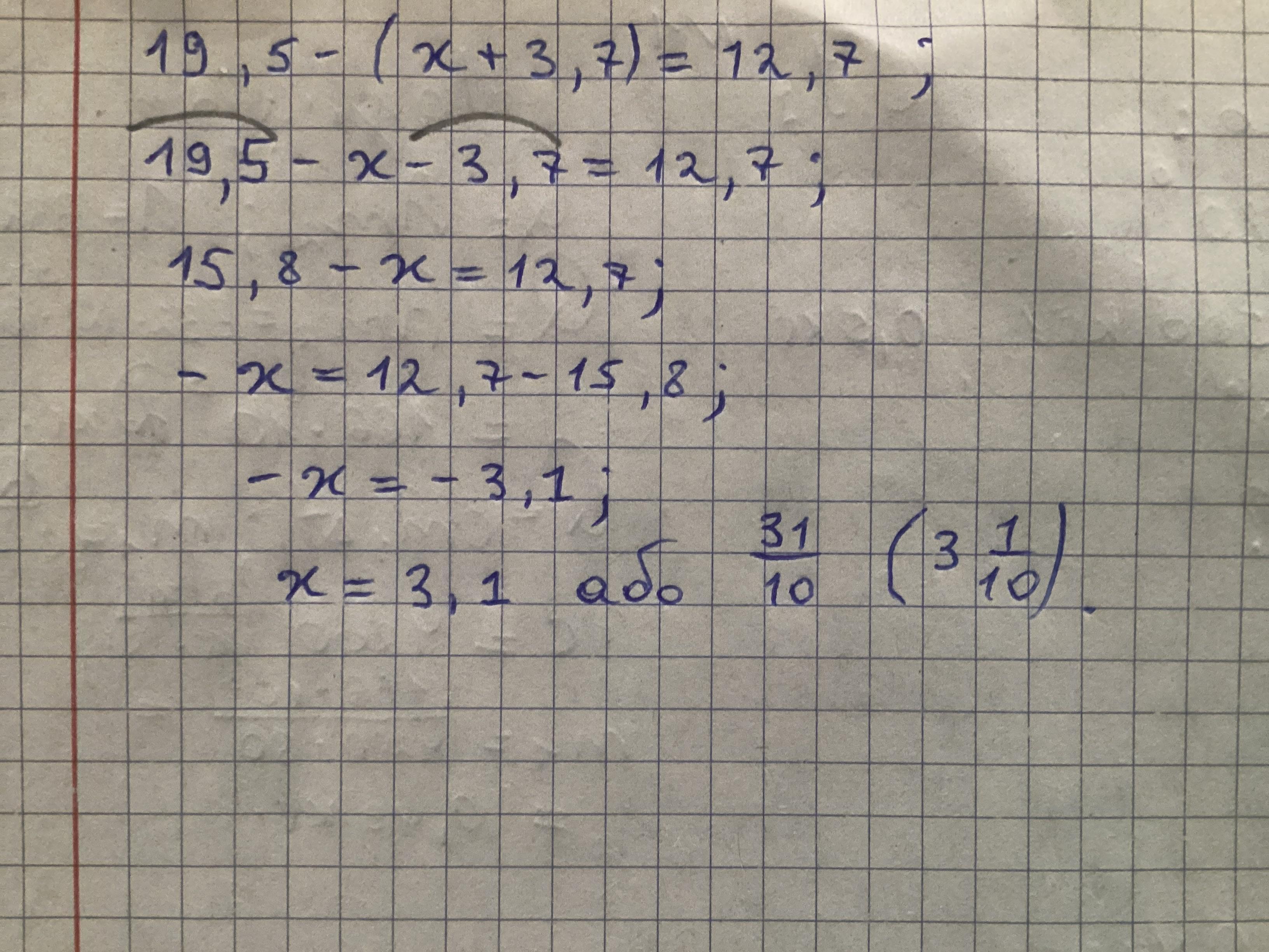
Розвʼязання на фото. Успіхів :)
Приложения:

Вас заинтересует
1 год назад
1 год назад
1 год назад
3 года назад
3 года назад
8 лет назад