• Предмет: Алгебра
  • Автор: meneshausu
  • Вопрос задан 2 года назад

ПОМОГИТЕ ПОЖАЛУЙСТА!!! Дам 20 баллов!!!
Ответ желательно скриншотом из онлайн мектеп
Основное свойство алгебраической дроби. Урок 3
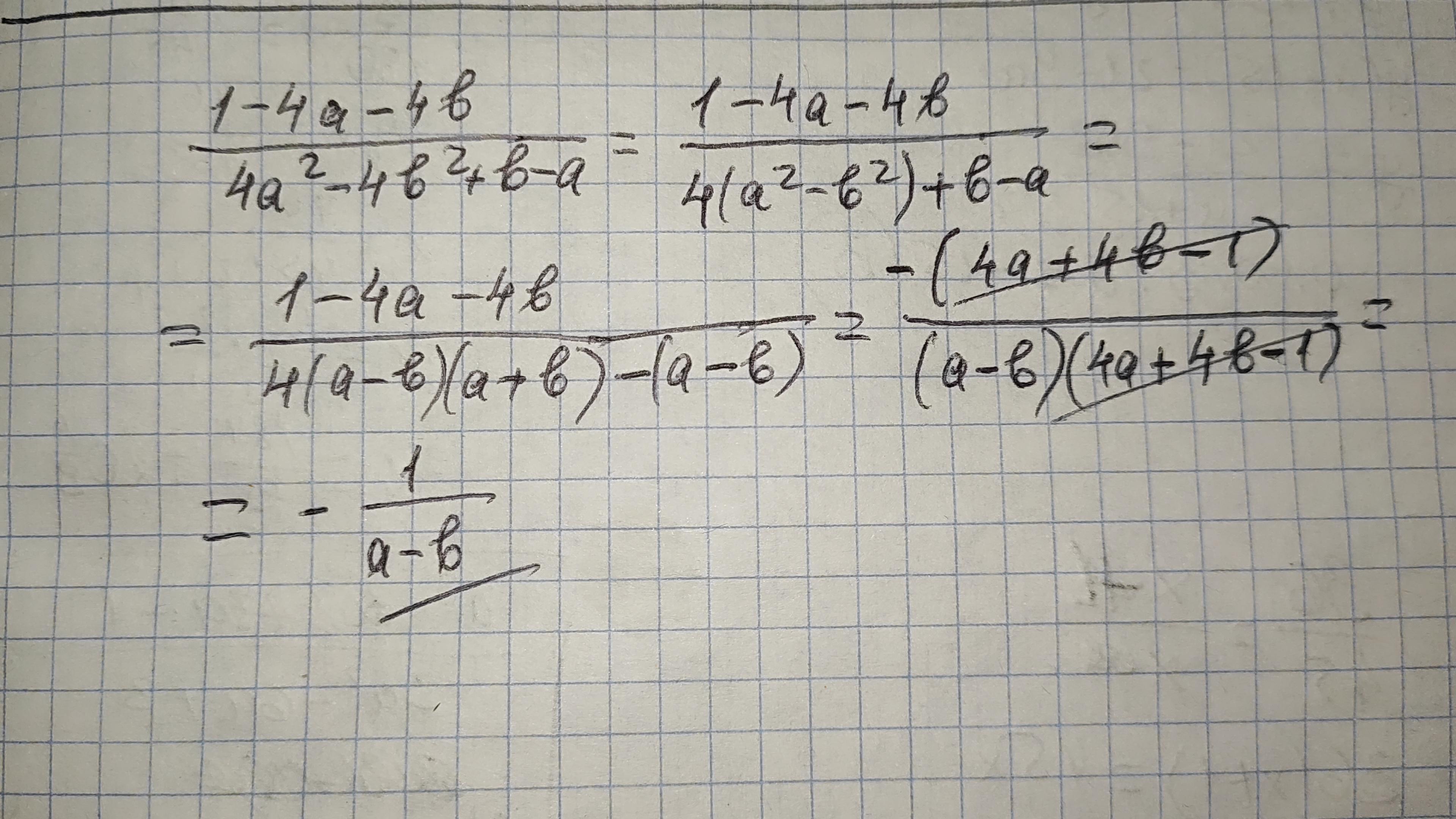
Сократи дробь на картинке (Верных ответов 2)

Приложения:

Ответы

Ответ дал: tetamotatetyamotya
1

Ответ:вот решение

Объяснение:

Приложения:

meneshausu: а можете пожалуйста сказать еще один ответ, просто на это задание должно быть два варианта ответа
Вас заинтересует