• Предмет: Математика
  • Автор: py9486926
  • Вопрос задан 2 года назад

Решите срочно даю 70 балов

Приложения:

Ответы

Ответ дал: сок111213
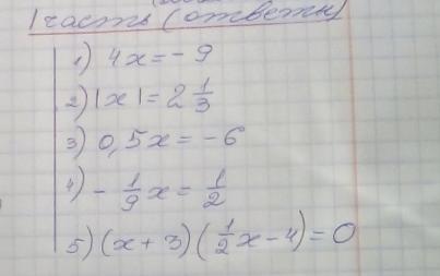
1

1)

4х = - 9

х = - 9 ÷ 4

х = - 2,25

2)

|х| = 2 1/3

х = 2 1/3

х = - 2 1/3

3)

0,5х = - 6

5х = - 60

х = - 60 ÷ 5

х = - 12

4)

 -  \frac{1}{9} x =  \frac{1}{2}  \\ x =  \frac{1}{2}  \div ( -  \frac{1}{9} ) \\ x =  -  \frac{9}{2}  \\ x =  - 4.5

5)

(х+3)(1/2х - 4) = 0

х+3 = 0

х = - 3

1/2х - 4 = 0

1/2х = 4 | × 2

х = 8

Вас заинтересует