• Предмет: Алгебра
  • Автор: evgenua7905
  • Вопрос задан 2 года назад

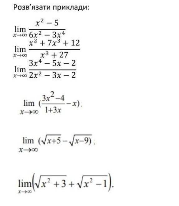
Помогите пожалуйста с заданием ​

Приложения:

Ответы

Ответ дал: elizanortven
0

Ответ:

1) = 0

2)=7

3-

4)=-1/3

5)=0

6)-

Вас заинтересует