• Предмет: Математика
  • Автор: evgenua7905
  • Вопрос задан 2 года назад

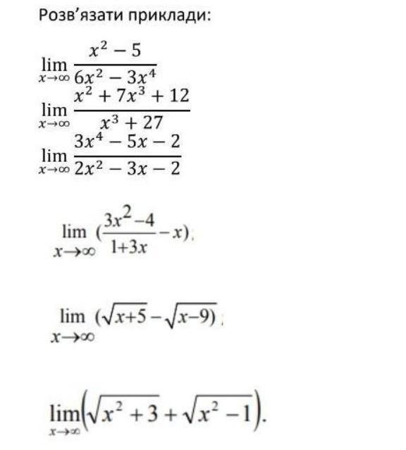
Допоможіть будь ласка із розв'язанням ​

Приложения:

Ответы

Ответ дал: mankooleksandra3
0

Пошаговое объяснение:

Ось відповідь на твоє питання

Приложения:
Вас заинтересует