• Предмет: Алгебра
  • Автор: ghbvvhh
  • Вопрос задан 2 года назад

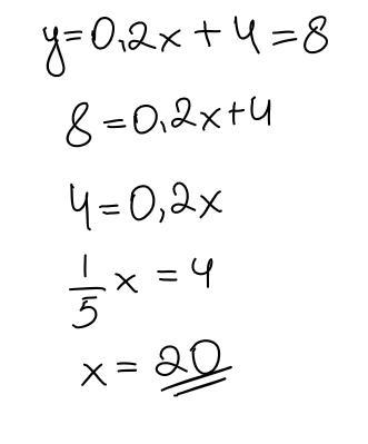
Обчисліть значення аргументу, при якому значення функції у = 0,2х + 4=8.
ДОПОМОЖІТЬ БУДЬ ЛАСКА​

Ответы

Ответ дал: BeraSmoothy
1

Сподіваюсь тобі все зрозуміло стало, і я допоміг тобі розібратися з завданням ;)

Бажаю гарного дня та хорошого настрою!!

Приложения:
Вас заинтересует