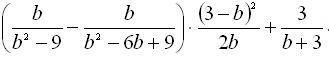
Довести, що при всіх допустимих значеннях змінної значення виразу не залежить від значення змінної, яка входить в нього
Доказать, что при всех допустимых значениях переменной значение выражения не зависит от входящего в него значения переменной
Приложения:

aarr04594:
https://znanija.com/task/52527247
Ответы
Ответ дал:
1
Унаслідок спрощень виразу виходить число, тому вираз не залежить від значення змінної, що і треба було довести.
Вас заинтересует
1 год назад
1 год назад
3 года назад
3 года назад
8 лет назад