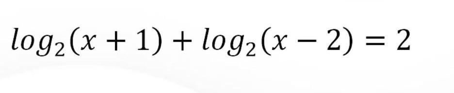
Алгебра. Даю 100 балів. потрібно вирішити завдання з максимальним поясненням щоб було усе зрозуміло будь ласка.
Приложения:



Ответы
Ответ дал:
1
Сподіваюсь допоміг тобі розібратися в завданні ;)
Бажаю тобі гарного дня та хорошого настрою!!
Приложения:



Аноним:
ДУЖЕ ДЯКУЮ!!!!!!!!!!!
Вас заинтересует
1 год назад
1 год назад
1 год назад
3 года назад
3 года назад
8 лет назад
8 лет назад