• Предмет: Математика
  • Автор: iradinisuk9
  • Вопрос задан 2 года назад

СРОЧНО ДАЮ 70 БАЛОВ ​

Приложения:

Ответы

Ответ дал: сок111213
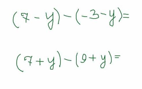
1

(7 - y) - ( - 3 - y) =  \\7  - y + 3 + 3 = 13 - y

( 7+ y) - (9 + y) =  \\ 7 + y - 9 - y =  - 2

Вас заинтересует