• Предмет: Алгебра
  • Автор: rolando6006
  • Вопрос задан 2 года назад

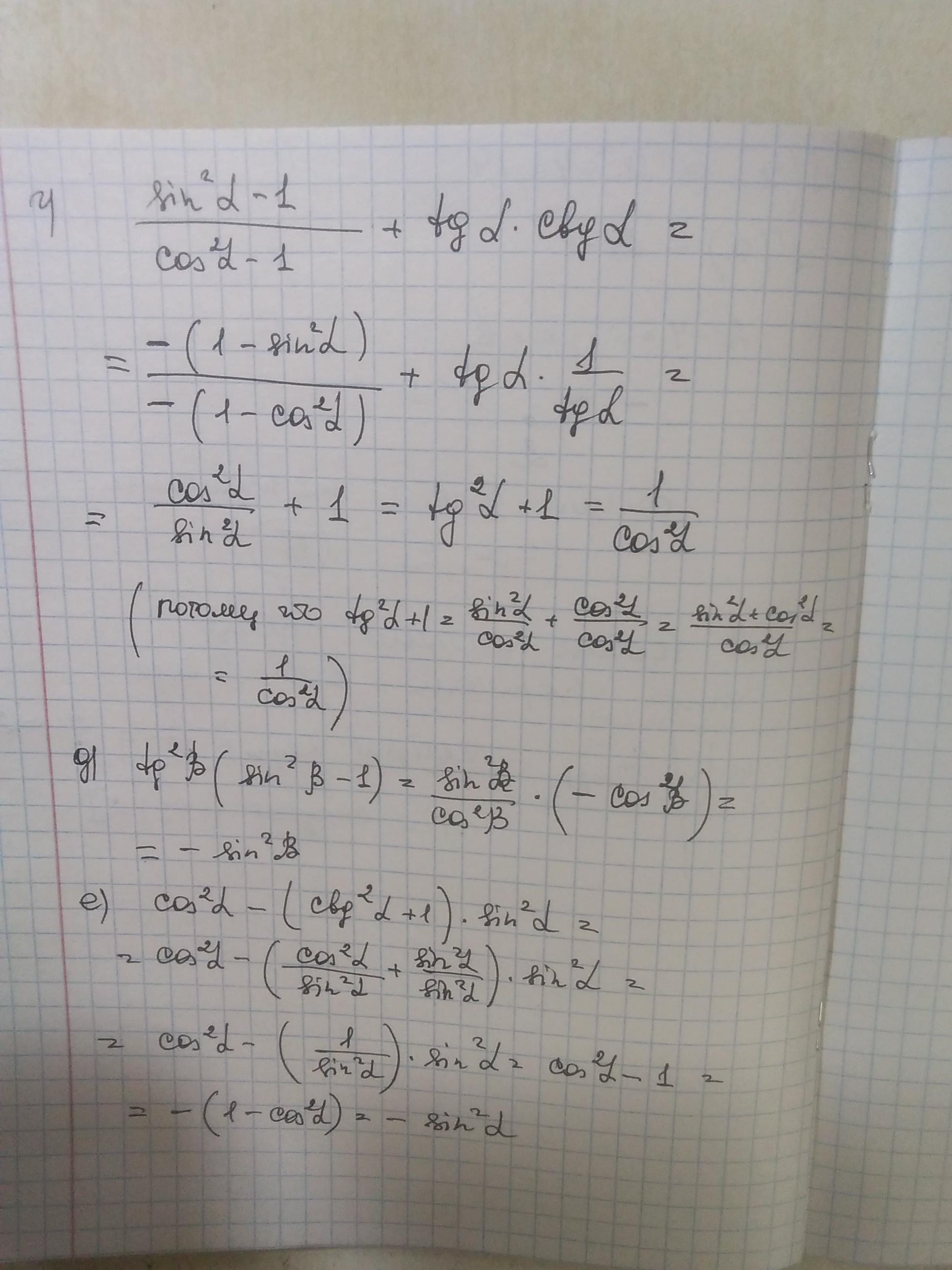
г) sin a -1 cos c +tg a ctg a;

д)) tg² B (sin² p-1);

(e) cos' a-(ctg' a+1) sin' a.
50 баллов​

Приложения:

Ответы

Ответ дал: MizoriesKun
1

Смотри........................

Приложения:

rolando6006: спасибо,снова помог(ла)
rolando6006: :)
Вас заинтересует