Ответы
Ответ дал:
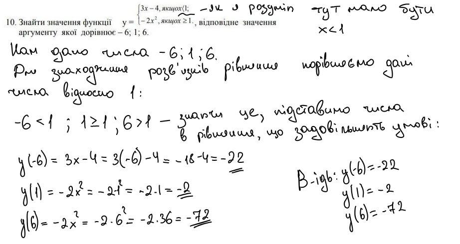
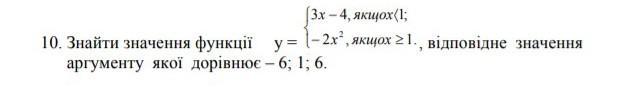
1
Сподіваюсь допоміг тобі розібратися з завданням ;)
Бажаю тобі гарного дня та хорошого настрою!!
Приложения:

jfcnljhcv606:
Дякую.
Вас заинтересует
1 год назад
1 год назад
1 год назад
1 год назад
3 года назад
3 года назад
8 лет назад