ПОМОГИТЕ, ПРОШУ!!! Срочно пожалуйста
Приложения:

Ivasinmisa433:
Ща скину
Ответы
Ответ дал:
1
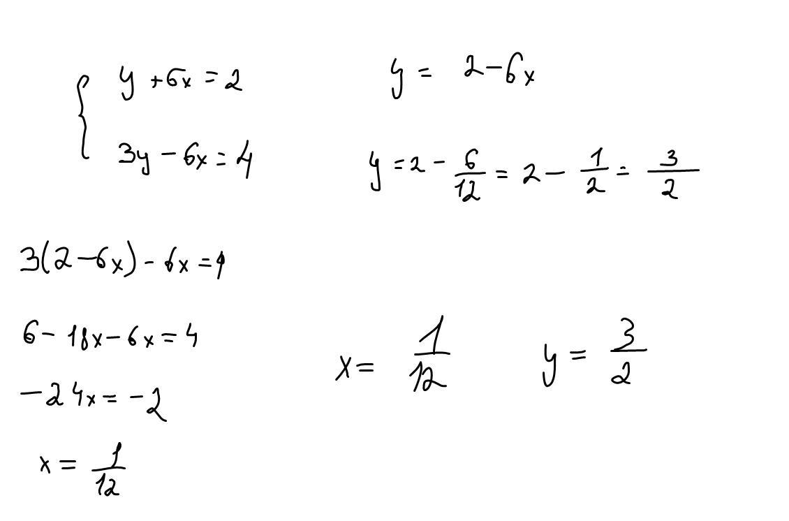
Ответ:
Пошаговое объяснение:
Приложения:

Вас заинтересует
1 год назад
1 год назад
8 лет назад