СРОЧНО!!!
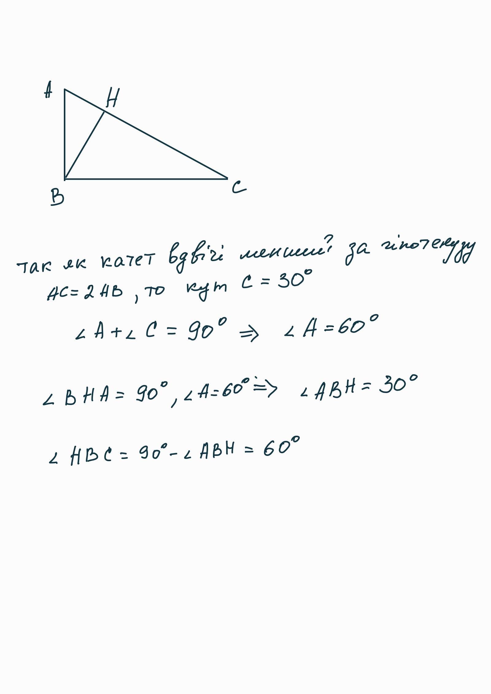
У прямокутному трикутни- ky ABC B=90°, AB = 8 CM, AC= 16 см. Знайдіть кути, які утворює висота ВН з катетами трикутника.
ЯКЩО Є МОЖЛИВІСТЬ НАМАЛЮВАТИ МАЛЮНОК, БУДЬ ЛАСКА НАМАЛЮЙТЕ, ЯК ПРАВИЛЬНО.
Ответы
Ответ дал:
2
Відповідь:
60°, 30°
Покрокове пояснення:
Приложения:

xicozh:
ДЯКУЮ
Вас заинтересует
1 год назад
1 год назад
1 год назад
3 года назад
3 года назад
8 лет назад