• Предмет: Математика
  • Автор: egoryeroshenko2011
  • Вопрос задан 2 года назад

Допоможіть будь ласка

Приложения:

Ответы

Ответ дал: medcentrekon
0

Відповідь:

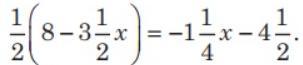
\frac{1}{2} *8-\frac{1}{2} *3\frac{1}{2} x=-1\frac{1}{4}x-4\frac{1}{2}

4-1\frac{3}{4} x=-1\frac{1}{4}x-4\frac{1}{2}

-1\frac{3}{4} x+1\frac{1}{4}x=-4\frac{1}{2} -4

-\frac{1}{2} x=-8\frac{1}{2}

x=-8\frac{1}{2} :( -\frac{1}{2})

x=\frac{17*2}{2*1}

x=17

Вас заинтересует