• Предмет: Алгебра
  • Автор: vanish8592
  • Вопрос задан 2 года назад

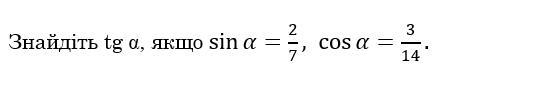
знайдіть tg a, якщо sin a = 2/7, cos a 3/14 Срочно

Приложения:

Ответы

Ответ дал: MizoriesKun
1

Смотри.......................

Приложения:
Вас заинтересует