100 БАЛІВ
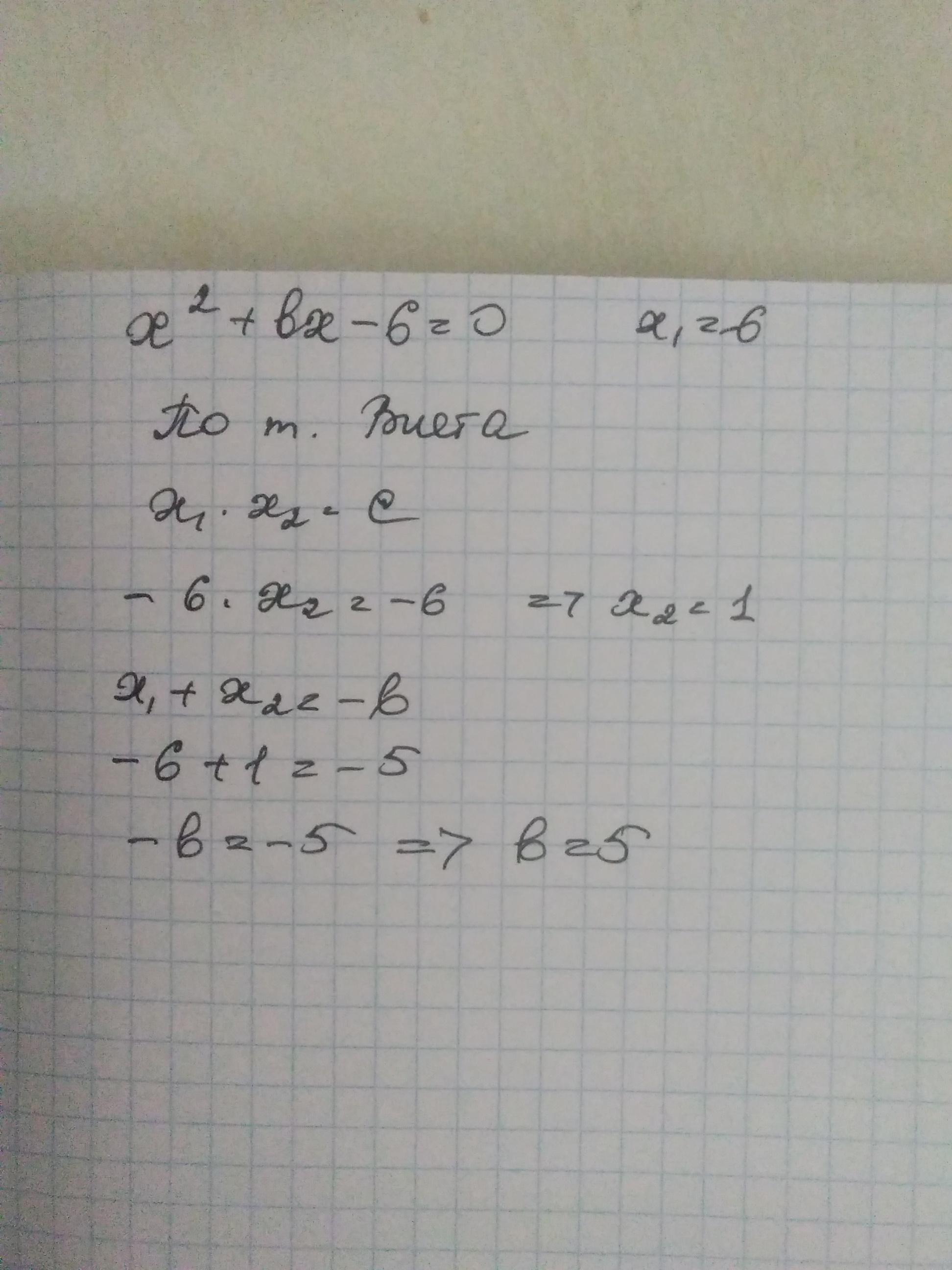
ЧИСЛО -6 Є КОРЕНЕМ РІВНЯННЯ х2+ bх-6=0.
ЗНАЙТИ ДРУГИЙ КОРІНЬ РІВНЯННЯ ТА ЗНАЧЕННЯ b.
MizoriesKun:
Где знак степени????? Это что х2??
Ответы
Ответ дал:
1
Смотри.....................
Приложения:

Ответ дал:
0
Відповідь:
Дано рівняння: х² + bx - 6 = 0.
Зазначено, що число -6 є коренем цього рівняння. Це означає, що якщо підставити -6 за x у рівняння, то ліва частина буде дорівнювати нулю.
Підставляємо x = -6 у рівняння:
(-6)² + b(-6) - 6 = 0
36 - 6b - 6 = 0
30 - 6b = 0
Тепер можемо знайти значення b, перенісши 30 на другий бік рівняння з зміною знака:
6b = 30
b = 30 / 6
b = 5
Таким чином, значення параметра b дорівнює 5.
Тепер можемо знайти другий корінь рівняння. Для цього можемо використати квадратне рівняння та виразити x:
х² + 5x - 6 = 0
(x + 6)(x - 1) = 0
Отже, другий корінь рівняння дорівнює 1.
Вас заинтересует
1 год назад
1 год назад
1 год назад
1 год назад
3 года назад
8 лет назад