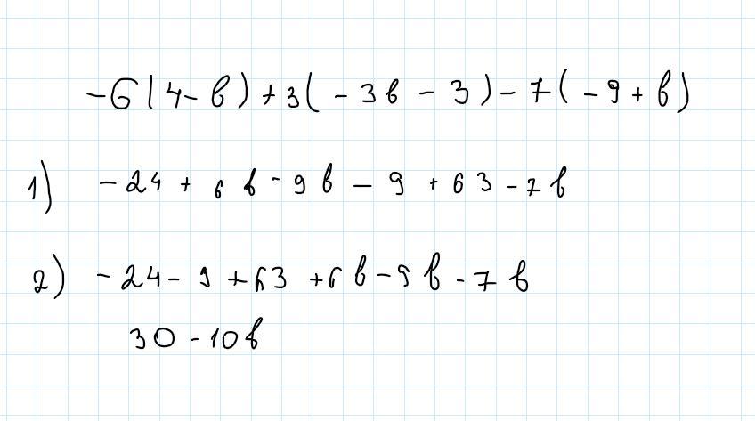
-6(4- b)+3(-3b-3)-7(-9+b).
Ответ:
1) выражение без скобок, не упрощённое (пиши без промежутков, не меняя порядка слагаемых; переменные пиши латинскими буквами) - ________
2) результат после приведения подобных слагаемых (первым записывай число без переменной; коэффициент -1 или 1 при буквенном множителе обязательно пиши) - ________
Ответы
Ответ дал:
0
Ответ:
Пошаговое объяснение:
Приложения:

Вас заинтересует
1 год назад
3 года назад
3 года назад